---
title: "Summaries"
fig-dpi: 300
lightbox: auto
execute:
cache: false
format:
html:
toc: true
code-fold: true
code-tools: true
code-link: true
knitr:
opts_chunk:
out.width: "100%"
---
```{r}
#| echo: false
#| warning: false
#| error: false
library (tidyverse)
library (hms)
library (rstatix)
library (flextable)
library (pins)
pal <- c ("#F0E442" ,"#009E73" ,"#56B4E9" , "#E69F00" ,"#0072B2" ) %>% set_names (c ("Standing" , "Sitting" , "Prone" , "Supine" , "Held" ))
restraint_pal <- c ("#CC79A7" ,"chartreuse4" ) %>% set_names (c ("Restrained" , "Unrestrained" ))
theme_update (text = element_text (size = 12 ),
axis.text.x = element_text (size = 12 , color = "black" ),
axis.title.x = element_text (size = 14 ),
axis.text.y = element_text (size = 12 , color = "black" ),
axis.title.y = element_text (size = 14 ),
panel.background = element_blank (),panel.border = element_blank (),
panel.grid.major = element_blank (),
panel.grid.minor = element_blank (), axis.line = element_blank (),
axis.ticks.length= unit (.25 , "cm" ),
legend.key = element_rect (fill = "white" ))
board <- board_folder ("/Volumes/padlab/study_sensorsinperson/data_processed/datasets/" )
data_version <- board %>% pin_meta ("imu_raw_samples" )
ds <- board %>% pin_read ("imu_raw_samples" ) %>%
filter (nap_period == 0 , exclude_period == 0 )
```
| Last updated: `r round(now())` using pinned data version from: `r round(data_version$created)`
| Users can load data by running (requires one-time google drive authentication):
```{r}
#| eval: false
library (tidyverse)
library (pins)
library (nanoparquet)
library (googledrive)
# Load the board of pinned data sets (authenticated users only)
board <- board_gdrive (path = as_id ("1OZlphhu6vYm1A2Bm2-zD7a4luS5nGWgS" ))
# To see available pinned data
board %>% pin_list ()
# To read a specific data pin into memory
ds <- board %>% pin_read ("imu_raw_samples" ) %>%
filter (nap_period == 0 , exclude_period == 0 )
```
### Usable data
```{r}
#| warning: false
#| label: Usable-data
#| tbl-cap: Usable data and total recording length in hours
usable_data <- ds %>% count (id, session) %>% mutate (usable_hours = n/ 3600 )
recording_duration <- ds %>% group_by (id, session) %>%
mutate (recording_hours = as.numeric (max (time) - min (time))) %>%
slice_head (n = 1 ) %>% ungroup
usable_data %>% left_join (recording_duration) %>%
get_summary_stats (usable_hours, recording_hours, show = c ("mean" , "sd" ,"min" ,"max" )) %>%
flextable () %>% autofit ()
```
```{r}
#| warning: false
#| label: Usable-data-histograms
#| layout-ncol: 2
#| fig-cap:
#| - "Usable hours after exclusions"
#| - "Recording length in hours"
usable_data %>%
ggplot (aes (x = usable_hours)) +
geom_histogram () +
scale_x_binned (name = "Hours" , limits = c (2 ,14 ))
recording_duration %>%
ggplot (aes (x = recording_hours)) +
geom_histogram () +
scale_x_binned (name = "Hours" , limits = c (2 ,14 ))
```
### Infant Position Frequency by Age (Overall)
```{r}
#| warning: false
#| label: position-table-age
#| tbl-cap: Position summary statistics
ds_sum <- ds %>% group_by (id, session) %>%
mutate (total_samples = n ()) %>% group_by (id, session, pos) %>%
summarize (pos_n = n (), total_samples = mean (total_samples)) %>% ungroup
ds_sum <- ds_sum %>% complete (nesting (id, session), pos, fill = list (pos_n = 0 , total_samples = 1 ))
ds_sum$ pos_prop = ds_sum$ pos_n/ ds_sum$ total_samples* 100
ds_sum$ session = as.numeric (ds_sum$ session)
ds_sum %>% group_by (pos, session) %>%
get_summary_stats (pos_prop, show = c ("mean" , "sd" ,"min" ,"max" )) %>%
select (- variable) %>% flextable () %>% autofit ()
```
```{r}
#| warning: false
#| label: "frequency-by-age-overall"
#| layout-ncol: 2
#| fig-cap:
#| - "Position means and SE"
#| - "Position distribution"
ggplot (ds_sum, aes (x = session, y = pos_prop, color = pos)) +
stat_summary (position = position_dodge (.1 )) +
stat_summary (geom = "line" , position = position_dodge (.1 )) +
ylim (0 ,101 ) + ylab ("% of time" ) + xlab ("Session" ) +
scale_x_continuous (breaks = 1 : 3 , labels = c ("7 mo" ,"9 mo" ,"11 mo" ), limits = c (0.5 ,3.5 )) +
scale_color_manual (values = pal, name = "" ) +
theme (legend.position = "bottom" )
ggplot (ds_sum, aes (x = session, y = pos_prop, fill = pos)) +
stat_summary (geom = "bar" , position = "stack" ) +
ylim (0 ,101 ) + ylab ("% of time" ) + xlab ("Session" ) +
scale_x_continuous (breaks = 1 : 3 , labels = c ("7 mo" ,"9 mo" ,"11 mo" ), limits = c (0.5 ,3.5 )) +
scale_fill_manual (values = pal, name = "" ) +
theme (legend.position = "bottom" )
```
### Infant Position Frequency by Age (Individual)
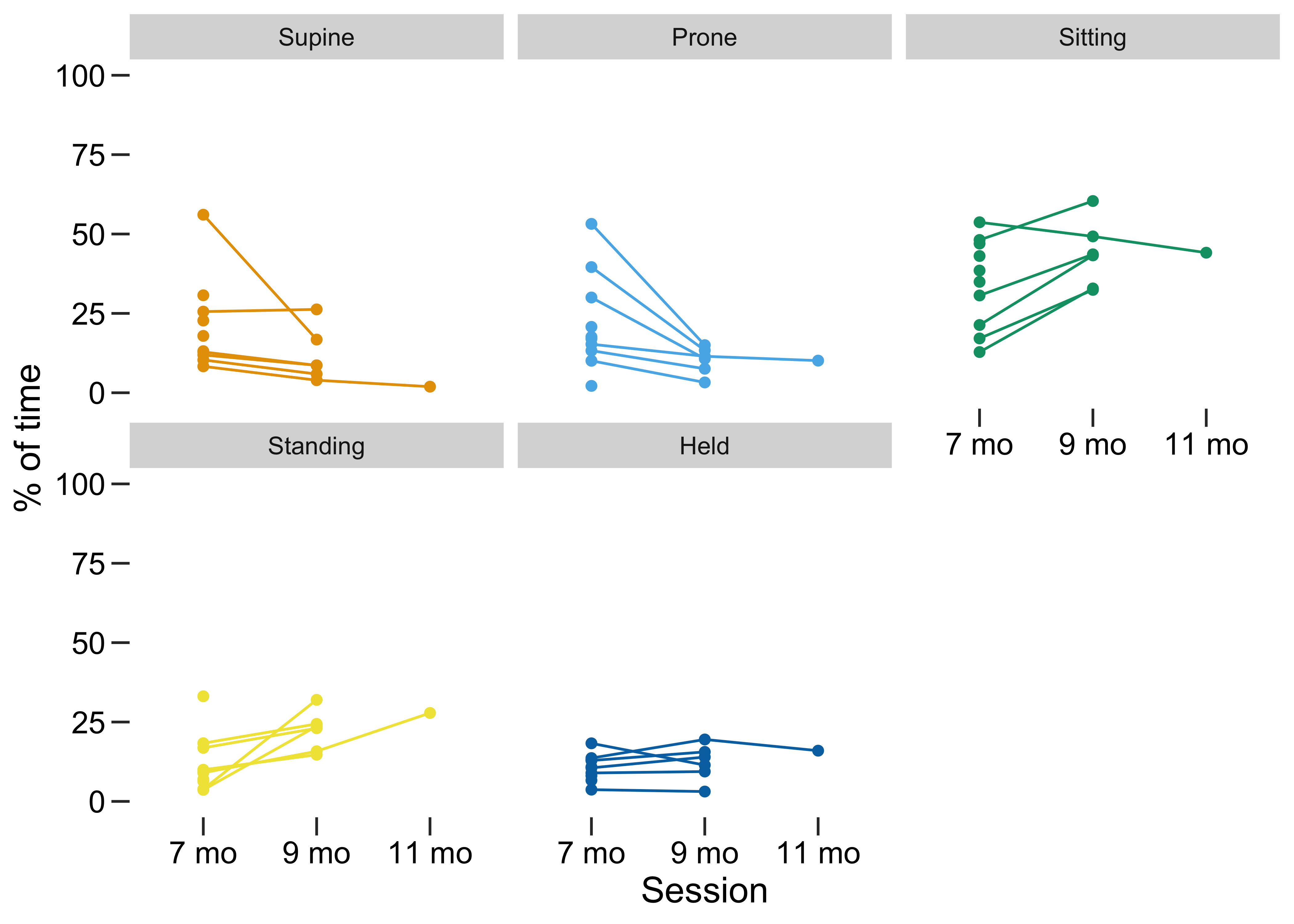
```{r}
#| out-width: "90%"
#| warning: false
#| label: "frequency-by-age-individual"
ggplot (ds_sum, aes (x = session, y = pos_prop, color = pos, group = id)) +
facet_wrap (~ pos) +
geom_point () + geom_line () +
ylim (0 ,100 ) + ylab ("% of time" ) + xlab ("Session" ) +
scale_x_continuous (breaks = 1 : 3 , labels = c ("7 mo" ,"9 mo" ,"11 mo" ), limits = c (0.5 ,3.5 )) +
scale_color_manual (values = pal, name = "" ) +
theme (legend.position = "none" )
```
### Infant Restraint Frequency by Age (Overall)
```{r}
#| warning: false
#| label: restraint-table-age
#| tbl-cap: Restraint summary statistics
ds_sum_restraint <- ds %>% group_by (id, session) %>%
mutate (total_samples = n ()) %>% group_by (id, session, restraint) %>%
summarize (restraint_n = n (), total_samples = mean (total_samples)) %>% ungroup
ds_sum_restraint <- ds_sum_restraint %>% complete (nesting (id, session), restraint, fill = list (restraint_n = 0 , total_samples = 1 ))
ds_sum_restraint$ restraint_prop = ds_sum_restraint$ restraint_n/ ds_sum_restraint$ total_samples* 100
ds_sum_restraint$ session = as.numeric (ds_sum_restraint$ session)
ds_sum_restraint %>% group_by (restraint, session) %>%
get_summary_stats (restraint_prop, show = c ("mean" , "sd" ,"min" ,"max" )) %>%
select (- variable) %>% flextable () %>% autofit ()
```
```{r}
#| warning: false
#| label: "restraint-by-age-overall"
#| layout-ncol: 2
#| fig-cap:
#| - "Restraint means and SE"
#| - "Restraint distribution"
ggplot (ds_sum_restraint, aes (x = session, y = restraint_prop, color = restraint)) +
stat_summary (position = position_dodge (.1 )) +
stat_summary (geom = "line" , position = position_dodge (.1 )) +
ylim (0 ,101 ) + ylab ("% of time" ) + xlab ("Session" ) +
scale_x_continuous (breaks = 1 : 3 , labels = c ("7 mo" ,"9 mo" ,"11 mo" ), limits = c (0.5 ,3.5 )) +
scale_color_manual (values = restraint_pal, name = "" ) +
theme (legend.position = "bottom" )
ggplot (ds_sum_restraint, aes (x = session, y = restraint_prop, fill = restraint)) +
stat_summary (geom = "bar" , position = "stack" ) +
ylim (0 ,101 ) + ylab ("% of time" ) + xlab ("Session" ) +
scale_x_continuous (breaks = 1 : 3 , labels = c ("7 mo" ,"9 mo" ,"11 mo" ), limits = c (0.5 ,3.5 )) +
scale_fill_manual (values = restraint_pal, name = "" ) +
theme (legend.position = "bottom" )
```
### Infant Restraint Frequency by Age (Individual)
```{r}
#| out-width: "90%"
#| warning: false
#| label: "restraint-by-age-individual"
ggplot (ds_sum_restraint, aes (x = session, y = restraint_prop, color = restraint, group = id)) +
facet_wrap (~ restraint) +
geom_point () + geom_line () +
ylim (0 ,100 ) + ylab ("% of time" ) + xlab ("Session" ) +
scale_x_continuous (breaks = 1 : 3 , labels = c ("7 mo" ,"9 mo" ,"11 mo" ), limits = c (0.5 ,3.5 )) +
scale_color_manual (values = restraint_pal, name = "" ) +
theme (legend.position = "none" )
```
### Posture by restraint
```{r}
#| out-width: "90%"
#| warning: false
#| label: "posture-by-restraint"
ds_sum_posrest <- ds %>% group_by (id, session) %>%
mutate (total_samples = n ()) %>% group_by (id, session, pos, restraint) %>%
summarize (posrest_n = n (), total_samples = mean (total_samples)) %>% ungroup
ds_sum_posrest <- ds_sum_posrest %>% complete (nesting (id, session), restraint, pos, fill = list (posrest_n = 0 , total_samples = 1 ))
ds_sum_posrest$ prop = ds_sum_posrest$ posrest_n/ ds_sum_posrest$ total_samples* 100
ds_sum_posrest$ session = as.numeric (ds_sum_posrest$ session)
ggplot (ds_sum_posrest, aes (x = session, y = prop, color = pos)) +
stat_summary (position = position_dodge (.1 )) +
stat_summary (geom = "line" , position = position_dodge (.1 )) +
facet_wrap (~ restraint) +
ylab ("% of time" ) + xlab ("Session" ) +
scale_x_continuous (breaks = 1 : 3 , labels = c ("7 mo" ,"9 mo" ,"11 mo" ), limits = c (0.5 ,3.5 )) +
coord_cartesian (ylim = c (0 ,55 )) +
scale_color_manual (values = pal, name = "" ) +
theme (legend.position = "bottom" )
```